경기 순환주기의 어디에 있는 지에 대한 판단을 도와주는 경기 판단지표_경제심리지수
경제심리지수란 기업가 또는 소비자들의 경제에 대한 인식을 조사하여 작성한 지표입니다. 한 나라 전체의 경기는 기업과 소비자들이 체감하는 경기를 합친 것이라 할 수 있습니다. 따라서 표본 추출 과정을 통해 잘 선택된 소비자와 기업들이 경제를 보는 시각을 종합한다면 전반적인 경기상황을 판단하는 데 큰 도움이 될 수 있습니다. 따라서, 이번 포스팅은 소비자와 기업들이 경제를 보는 시각을 종합하여 지표화한 기업경기실사지수, 소비자동향지수, 소비자심리지수, 경제심리지수, 뉴스심리지수 그리고 주요국의 심리지표에 대해서 순차적으로 살펴보도록 하겠습니다.
앞으로 하게 될 포스팅의 순서는 아래와 같습니다.
- 경기 순환주기의 어디에 있는 지에 대한 판단을 도와주는 경기 판단지표_경기란?
- 경기 순환주기의 어디에 있는 지에 대한 판단을 도와주는 경기 판단지표_경제심리지수
- 경기 순환주기의 어디에 있는 지에 대한 판단을 도와주는 경기 판단지표_경기동향 분석을 위한 경제지표
기업경기실사지수(BSI: Business Survey Index)
기업경기실사지수(BSI)의 정의
기업경기실사지수(BSI)는 기업가들이 체감하는 경기동향 및 전망을 조사하여 지수화한 것입니다.
기업경기실사지수(BSI)의 역사
BSI는 1920년대부터 작성되었으며, 초기에는 영국산업연합(Federation of British Industries), 독일의 Ifo경제연구소와 같은 민간 협회에 의해 작성되었습니다. 20세기 후반부터는 정부 통계기관인 프랑스의 국립 통계 경제연구소(INSEE), 캐나다 통계청 등과 중앙은행인 일본은행 등 공적 기관에 의한 조사가 시작되었고, 우리나라의 경우 한국은행이 1966년부터 BSI 작성을 시작하였습니다.

기업경기실사지수(BSI)의 조사 및 산출방법
기업경기실사지수(BSI)의 산출 방법은 판단조사와 계수조사 두 가지 형태가 있습니다. 판단조사는 항목 별로 긍정, 보통, 부정 중 하나를 선택하게 하여 전체 응답 중에서 긍정적인 응답(증가 또는 호전) 비중과 부정적인 응답(감소 또는 악화) 비중의 차이로 기업경기실사지수(BSI)를 산출하는 반면 계수조사는 항목 별로 실제금액의 증감률을 조사하여 기업경기실사지수(BSI)를 작성합니다.
한국은행은 1966년부터 작성했던 분기별 BSI를 1983년에 일시 중단하였다가 1991년 이후 다시 작성하고 있으며, 2003년 1월부터는 조사주기를 분기에서 월로 변경하였습니다. 또한 2006년 1월부터는 업종의 규모(GDP비중)를 반영한 가중평균지수 형태로 편제하고 있습니다.
조사는 매월 15일을 전후하여 약 일주일간 실시하고 있으며, 조사 결과는 하순에 발표합니다. 조사대상 업체는 국세청 법인세 신고 업체(일반법인 기준)들을 대상으로 업종별, 매출액별로 층화계통추출법을 이용하여 추출한 표본을 기초로 선정하고 있습니다. 2023년 9월 기준 조사대상은 3,255개 업체(제조업 1,899개, 비제조업 1,356개)입니다. 한국은행의 BSI 측정 척도로는 OECD ‘기업경기조사 통일 기준’에 의거 긍정, 보통, 부정 등 3점 척도를 사용하고 있으며 지수의 산식은 다음과 같습니다.

이와 같이 산출된 BSI는 0에서 200까지의 값을 갖는데 100을 넘어서면 긍정적으로 응답 한 업체 수가 부정적으로 응답한 업체 수보다 많음을 나타내며, 100 미만인 경우는 그 반대를 의미합니다.

조사 항목은 모두 판단조사 항목으로 구성되어 있으며, 절대적인 수준 등을 묻는 6개 항목과 전년동월 또는 전월과 비교한 변화 방향을 묻는 10개 항목으로 구성되어 있습니다. 각 조사 항목 에 대한 업종별 지수와 함께 전 산업, 제조업, 비제조업 등 상위 산업에 대한 지수가 작성되며, 대기업과 중소기업, 중화학공업과 경공업, 수출기업과 내수기업 등 특수분류지수도 편제되고 있습니다.
한국의 기업경기실사지수(BSI)의 의의
한국은행의 기업경기실사지수(BSI)는 실적지수와 전망지수가 같이 작성되며, 실물지표와 높은 상관관계를 보이고 있어 현재 또는 가까운 장래의 경기상황을 가늠하는데 유용한 것으로 평가되고 있습니다. 한편 한국은행 외에도 국내 기업경기실사지수 작성하는 기관이 있는데, 산업통상자원부의 중견기업경기전망조사, 중소벤처기업부의 중소기업경기전망조사 등이 있습니다.
소비자동향지수(CSI: Consumer Survey Index)
소비자동향지수(CSI)의 정의
소비자동향지수(CSI)는 경제에 대한 소비자의 인식과 향후 소비지출전망 등을 조사하여 지수화한 것입니다.
소비자동향지수(CSI)의 역사
소비자동향지수(CSI)는 1946년 미국 미시간대학교에서 최초로 작성되었습니다. 현재는 미국의 미시간대학교와 컨퍼런스보드, 일본의 내각부, 유럽 각국의 통계 편제기관 등에서 소비자동향지수 CSI를 작성하고 있습니다. 우리나라에서는 한국은행이 1995년 3/4분기부터 분기별로 CSI를 작성했으며, 2008년 7월부터는 월별로 작성하고 있습니다.
소비자동향지수(CSI)의 조사 및 산출방법
한국은행에서는 소비자동향지수(CSI)를 매월 15일을 전후 일주일에 걸쳐 조사하여 월말에 결과를 발표하고 있습니다. 조사대상 가구는 인구주택 총조사의 전국 도시 일반가구를 조사대상 모집단으로 설정한 후 지역별, 연령별로 층화하여 추출하는 방식으로 선정한 2,500가구입니다. 조사 항목은 소비자의 가계재정상황, 경제상황, 가계 저축 및 부채 상황에 대한 인식 등과 관련된 항목으로 구성되었고, 성별, 연령별, 주거지역별, 직업별, 소득계층별로도 구분하여 조사하고 있습니다.

한국은행의 CSI는 BSI와 유사한 방식으로 산출되지만, 3점 척도(긍정, 보통, 부정)인 기업경기실사지수(BSI)와 달리 5점 척도(매우 긍정, 다소 긍정, 비슷, 다소 부정, 매우 부정)로 구분되어 있으며 정도에 따라 가중치를 부여하고 있습니다.
소비자동향지수(CSI)는 0에서 200까지의 값을 가지며, 동 지수가 100을 초과한 경우 긍정적인 답변을 한 소비자가 부정적인 답변을 한 소비자보다 많다는 것을 의미하며 100 미만인 경우는 그 반대를 의미합니다.

소비자심리지수(CCSI: Composite Consumer Sentiment Index)
소비자심리지수(CCSI)의 정의
소비자심리지수(CCSI)는 가계재정상황에 대한 인식 중 4개(현재 생활형편, 생활형편 전망, 가계수입 전망, 소비지출 전망), 경제상황에 대한 인식 중 2개(현재 경기판단, 향후 경기 전망) 등 가계 경제상황 및 경기와 연관성이 높은 6개 소비자동향지수(CSI)를 대상으로 시계열의 지수 수준 및 진폭을 일정하게 표준화하여 합성한 지수입니다.
소비자심리지수(CCSI)의 필요성
생활형편, 경제상황, 소비지출전망 등의 항목에 대한 개별 소비자동향지수(CSI)는 각 항목에 대한 소비자들의 태도를 잘 보여주지만, 개별지수 간에 결과가 상충될 경우 소비자 심리에 대한 종합적인 판단이 곤란해지며 또한 여러 개별지수 가운데 소비자심리를 대표하는 지수로 어떤 지수를 사용해야 하는지도 불분명한 문제가 있습니다. 따라서, 소비자의 경제에 대한 전반적인 인식을 파악할 수 있는 대표적인 지수를 편제할 필요가 있기 때문에, 한국은행은 소비자심리지수(CCSI)를 작성하여 발표하고 있습니다.
소비자심리지수(CCSI)의 해석방법
소비자심리지수(CCSI) 100의 의미는 소비자동향지수(CSI)와는 다릅니다. 소비자동향지수(CSI)의 100은 좋음과 나쁨의 응답 비중이 동일 하다는 뜻이지만, CCSI의 100은 과거 조사된 소비자심리의 장기평균치를 의미하게 때문에, 소비자심리지수(CCSI)가 100보다 크면 소비자들의 심리가 장기평균보다 낙관적임을, 100보다 작으면 비관적임을 의미합니다.
소비자심리지수(CCSI)의 특성
소비자심리지수(CCSI)는 생활형편, 경제상황 등 각기 다른 특성을 지닌 개별지수 ① 전체를 아우르는 소비자심리에 대해 종합적 판단을 가능하게 합니다. 또한 ② 소비자심리지수(CCSI)는 기준치 100을 중심으로 대칭적인 움직임을 보임으로써 소비자들의 부정적 응답 경향으로 인한 판단오류를 피할 수 있게 합니다. 마지막으로 ③ 소비자심리지수(CCSI)는 실물경기에 대해 높은 선행성을 보여줍니다.
경제심리지수(ESI: Economic Sentiment Index)
경제심리지수(ESI)의 의의
기업경기실사지수(BSI)와 소비자동향지수(CSI)가 서로 엇갈린 움직임을 보이거나 실물경제지표와 괴리가 생기는 경우에는 경기 판단에 있어서 혼란스러운 상황이 발생할 수 있습니다. 그래서 한국은행은 민간 경제상황에 대한 인식을 종합적으로 평가할 수 있는 경제심리지수(ESI)를 2003년 이후를 기준으로 작성하여 2012년 5월부터 발표하고 있습니다.
경제심리지수(ESI)의 구성항목과 산출방법
경제심리지수(ESI)는 기업경기실사지수(BSI) 32개 항목과 소비자동향지수(CSI) 17개 항목 가운데 경기연관성이 높은 7개를 선정하여 이들의 표준화 지수를 가중 평균한 후 지수의 장기평균이 100, 표준편차가 10이 되도록 재조정하여 산출합니다.

또한, 경제심리지수(ESI)의 경우 경제심리의 순환적 흐름이 파악되도록 원 계열에서 계절 및 불규칙 요인을 제거한 순환 변동치도 산출하고 있습니다.
경제심리지수(ESI)의 해석
경제심리지수(ESI)가 100을 넘으면 현재 민간의 경제심리가 과거 평균보다 낙관적임을, 100 미만이면 과거 평균보다 비관적임을 의미합니다.
경제심리지수(ESI)의 특징
경제심리지수(ESI)는 GDP를 대체로 선행하면서 높은 상관관계를 가지고 움직이는 특성으로 인해서 경기선행지수에도 포함되고 있습니다.
뉴스심리지수(NSI: News Sentiment Index)
뉴스심리지수(NSI)의 정의
뉴스심리지수(NSI)는 경제분야 뉴스기사에 나타난 경제심리를 지수화한 것입니다. 뉴스심리지수(NSI)는 인터넷 포털 사이트의 경제분야 뉴스기사에서 표본문장을 추출한 뒤 각 문장에 나타나는 긍정, 부정, 중립의 감성을 분류하고 긍정과 부정 문장 수의 차이를 계산하여 지수화한 지표입니다. 한국은행은 2022년 1월부터 뉴스심리지수(NSI)의 일별 및 월별 지수를 개발하여 한국은행 경제통계시스템 (ECOS)을 통해 매주 실험적 통계로 공표하고 있습니다.
뉴스심리지수(NSI)의 의의
뉴스는 경제상황에 대한 사실과 함께 긍정 혹은 부정적인 감성도 포함하고 있어 기사를 접한 경제주체의 심리에 영향을 미칠 수 있습니다. 또한 경제주체의 한 사람인 기자의 경기상황에 대한 인식이 반영될 수도 있습니다. 따라서 뉴스는 선후 관계가 명확하지 않지만, 경제주체의 심리와 연관성이 높아 경기를 파악할 수 있는 유용한 정보를 담고 있다고 할 수 있습니다.
뉴스심리지수(NSI)의 산출방법
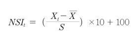
뉴스심리지수(NSI)는 2005년 이후부터 언론사의 경제분야 뉴스기사 문장 중 일별 10,000개를 무작위로 추출하여 표본문장을 구성하고, 각 표본문장은 감성분류기를 통해 긍정, 부정, 중립 중 하나의 감성과 매칭됩니다. 특정 기간(t)의 긍정 문장 수와 부정 문장 수로 지수화한 NSI 원지수(Xt)이며 산식은 다음과 같습니다.

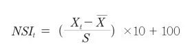
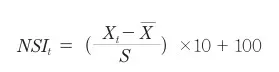
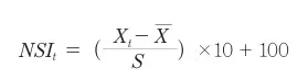
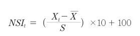
그리고 언론 논조에 의한 편의 가능성을 방지하고 학습데이터 및 감성분류기 변경에 따른 지수의 변동성을 줄이기 위해 원지수를 표준화 구간(2005년~전년)의 평균(X) 및 표준편차(S)를 이용하여 장기평균이 100, 표준편차가 10이 되도록 다음과 같이 표준화하였고, 이를 뉴스심리지수(NSI)로 정의하고 있습니다.

뉴스심리지수(NSI)의 해석
뉴스심리지수(NSI)는 100보다 크면 뉴스기사에 나타난 경제심리가 과거 장기평균보다 낙관적이며, 100 보다 작으면 비관적인 것으로 해석하면 됩니다. 표준화 구간은 매년 초 지수의 현실반영도 제고를 위해 전년 말까지 연장하고 과거 시계열을 소급 적용합니다. 뉴스심리지수(NSI)는 시차가 있지만 우리나라 경제상황이 긍정적이면 상승하고 부정적이면 하락하는 등 대체로 비슷한 움직을 보여줍니다. 예를 들면, 2020년 초 코로나19 확산으로 경기 저점을 기록하는 등 경제가 악화되는 시점에는 NSI가 큰 폭으로 하락하였고, 2021년 코로나19 충격에서 점차 회복되면서부터는 NSI도 점차 상승하는 모습을 보였습니다.

뉴스심리지수(NSI)의 특징
다른 경제심리지표(CCSI, BSI)와 비교해볼 때에 대체로 높은 상관관계를 보이면서 뉴스심리지수(NSI)가 기존 지표를 1~2개월 선행하는 것으로 나타나는 특징을 보이고 있습니다.
주요국의 심리지표

일본은행의 단칸(短觀)지수
일본은행의 단칸(短觀)지수는 분기마다 일본 전역의 약 9,000여개 기업들을 대상으로 실시하는 설문조사를 기초로 작성되며, 제조업과 비제조업의 경기, 수급, 재고, 투자, 고용, 자 금 조달 등에 대한 현재 상황 및 전망에 대한 정보를 제공합니다.
EU, 유로 지역 및 개별 국가의 경기체감지수(Economic Sentiment Indicator)
EU집행위원회(EC: European Commission)는 회원국의 조사 결과를 바탕으로 EU, 유로 지역 및 개별 국가의 경기체감지수(Economic Sentiment Indicator)를 작성하고 있습니다. 광공업, 건설업, 서비스업, 소매업, 소비자 등 5개 부문으로 나뉘며, 이를 가중평균하고 다시 장기 평균값으로 표준화하여 단일 지수를 산출하고 있습니다. 동 지수는 기업뿐만 아니라 소비자도 포함하므로 민간의 경제상황에 대한 인식을 종합적으로 나타내고 있습니다.
독일 Ifo경제연구소의 기업경기지수(Ifo Business Climate Index)
독일 Ifo경제연구소의 기업경기지수(Ifo Business Climate Index)는 독일 내 제조업, 서비스업, 건설업, 도소매업종의 약 9,000여개 기업을 대상으로 경제 현황 및 향후 6개월 전망 에 대한 설문조사를 기초로 작성되고 있습니다. 기업경기지수는 위의 방식으로 구한 현황지수와 전망 지수 평균값을 변환하여 산출합니다.

유럽경제연구센터의 경기체감지수(Indicator of Economic Sentiment)
유럽경제연구센터(ZEW)의 경기체감지수(Indicator of Economic Sentiment)는 약 350명의 금융 전문가를 대상으로 한 설문조사를 기초로 작성되며 6개월 후 독일, 유로존, 영국, 미국 등의 경제성장률, 물가상승률, 이자율, 주식·외환시장에 대한 전망을 제공합니다. 각 부문별 지수는 일본의 단칸지수와 동일한 방식으로 산출됩니다.
프랑스의 INSEE
프랑스의 INSEE는 매월 제조업, 도 소매업, 건설업, 서비스업에서의 기업 활동, 고용 등에 대한 정보를 제공하는 기업경기지수 (Business Climate Indicator)와 경기전환지수(Turning Point Indicator)를 발표하고 있습니다.
구매관리자지수(PMI: Purchasing Managers' Indexes)
구매관리자지수(PMI)는 매월 기업의 구매관리자를 대상으로 생산, 신규주문, 재고, 고용, 가격 등에 대한 설문조사를 실시하여 작성하는 심리지표입니다. 구매관리자지수(PMI)는 제조업, 서비스업, 건설업 등 산업별로 작성되고 매월 초 직전 월의 통계가 발표 됨에 따라 기업의 경제상황에 대한 인식을 신속하게 알 수 있게 도와줍니다. 이에 따라 동 지 수는 기업의 경영자뿐만 아니라 각국의 정책담당자 등도 널리 이용하고 있습니다. 설문조사 대상자들은 부문별로 전월 대비 호전, 불변, 악화 중의 하나로 응답하며 각 부문 별 지수는 아래와 같이 산출됩니다.

지수는 0에서 100까지의 값을 가지며 동 지수가 50을 넘어 서는 경우 긍정적으로 응답한 업체 수가 부정적으로 보는 업체 수에 비해 많음을, 50 미만인 경우 그 반대를 의미합니다. 그리고 산업별 최종지수는 부문별 지수를 가중 평균하여 산출되고 있습니다.
대표적인 PMI 작성 기관으로는 IHS Markit이며, 세계 약 40여개 국의 대략 28,000명의 구매관리자를 대상으로 한 설문 결과를 기초로 국가별 제조업, 서비스업 및 종합 PMI를 산출하고 이를 각국의 실질 GDP 비중으로 가중평균하여 글로벌 PMI를 산출하고 있습니다. 그리고 일부 국가별 PMI의 경우는 Nikkei(일본, 한국 등), 차이신(중국), BME(독일), 중앙은행(뉴질랜드, 헝가리 등) 등의 기관과 협력하여 작성하고 있습니다.
ISM (비)제조업 지수
미국의 공급관리자협회(ISM: Institute for Supply Management)는 매월 미국 내 20여개의 제조업 부문과 15여개의 비제조업 부문의 구매담당 임원을 대상으로 한 설문조사를 기초로 제조업과 비제조업의 PMI지수를 발표하고 있습니다. 제조업 지수는 통상 매월 첫 번째 영업일에, 비제조업 지수는 세 번째 영업일에 각각 발표합니다. 두 지수 모두 정식 명칭은 PMI이지만 ‘ISM (비)제조업 지수’로 더 잘 알려져 있습니다.
미국의 소비자심리지수(CSI)
미국 미시간대학교는 약 500여 개 가구들을 대상으로 경제상황에 관한 전화 인터뷰를 매 월 실시하고 있습니다. 소비자심리지수(Consumer Sentiment Index)는 전체 설문 항목 중 현재 상황 관련 2개 항목(가계의 재정상황 및 소비지출 의향)과 미래 전망에 관한 3개 항목(1년 후 가계 의 재정상황 전망, 1년 및 5년 후 경기전망)의 설문 결과를 합산하여 산출됩니다. 설문은 3점 척도 방식을 사용하고 있으며, 지수는 1996년 1/4분기를 기준값(100)으로 산출됩니다.
일본과 유럽의 소비자신뢰지수(Consumer Confidence Index)
일본 내각부는 8,400가구를 대상으로 5개 항목(가계의 생활형편, 소득, 고용상황, 내구재 구입 및 자산 가치)의 6개월 후 전망에 대한 우편 ㄷ설문조사를 매월 실시하고, 이 중 자산 가치를 제외한 4개 항목의 지수를 단순 평균하여 소비자신뢰지수(Consumer Confidence Index)를 작성하고 있습니다. 설문은 5점 척도 방식(매우 긍정, 긍정, 중립, 부정, 매우 부정)을 사용하고 있으며, 지수는 50을 기준 값으로 산출되고 있습니다.
EU집행위원회는 유럽연합 회원국 내 약 40,000가구를 대상으로 가계의 재정상황, 경제인식, 고용기대 및 저축에 대한 설문조사를 매월 실시하고 있으며, 이를 바탕으로 소비자신뢰 지수(Consumer Confidence Indicator)를 산출하며, 지수는 –100(모든 응답자가 가장 부 정적인 답변을 선택)에서 +100(모든 응답자가 가장 긍정적인 답변을 선택)의 값을 갖습니다. 설문은 5점 척도 방식을 사용하고 있으며, 지수는 0을 기준 값으로 산출되고 있습니다.
관련포스팅
경기 순환주기의 어디에 있는 지에 대한 판단을 도와주는 경기 판단지표_경기란?
경기 순환주기의 어디에 있는 지에 대한 판단을 도와주는 경기 판단지표_경기동향 분석을 위한 경제지표
'경제, 금융 > 경제' 카테고리의 다른 글
| 경제 주체 중 하나인 기업을 분석하기 위한 기업경영분석지표_기업경영분석 (0) | 2024.04.16 |
|---|---|
| 중요한 경제지표 중의 고용과 임금통계에 대해 알아보기_임금 편 (0) | 2024.04.15 |
| 중요한 경제지표 중의 고용과 임금통계에 대해 알아보기_고용 편 (0) | 2024.04.15 |
| 경기 순환주기의 어디에 있는 지에 대한 판단을 도와주는 경기 판단지표_경기동향 분석을 위한 경제지표 (0) | 2024.04.12 |
| 경기 순환주기의 어디에 있는 지에 대한 판단을 도와주는 경기 판단지표_경기란? (0) | 2024.04.08 |
| 국민대차대조표의 활용 (0) | 2024.04.02 |
| 국민대차대조표의 작성방법 (0) | 2024.04.02 |
| 국민대차대조표의 이해 (0) | 2024.04.02 |
댓글