산업연관표의 이해_투입산출표
투입산출표는 각 상품별 산출액과 투입구조를 나타내며 산업별로 단일 상품이 생산되는 것을 전제로 작성됩니다. 이는 동일한 생산기술이 사용된다는 것을 가정하기 때문입니다. 따라서 투입 산출표는 부문 간의 파급효과를 분석하는 데 이용됩니다. 이번 포스팅은 경제분석에 널리 사용되는 투입산출표로부터 산출된 계수인 투입계수와 생산유발계수, 생산유발계수의 도출, 영향력계수 및 감응도계수 순서로 알아보겠습니다.
③ 산업연관표의 이해_투입산출표
투입산출표
투입계수는 각 상품의 생산에 투입된 중간재와 생산요소의 가치를 총투입액 (또는 총산출액)으로 나누어 산출합니다. 생산요소의 가치가 부가가치인 만큼 투입계수는 중간 투입계수와 부가가치계수로 나뉘며 이를 통해 상품별 생산기술구조를 파악할 수 있습니다. 투입산출표를 이용하면 원재료나 임금 등의 가격변화에 따른 가격파급효과를 측정할 수도 있습니다. 투입계수가 각 산업의 투입구조, 즉 비용구성을 나타내므로 각 투입요소(임금, 공공요 금, 원유가격, 환율 등)의 가격변화가 각 산업의 생산물가격에 얼마만큼 영향을 주는가에 대한 분석이 가능합니다.
아래의 표는 2019년 투입산출표를 7개 부문으로 통합한 것입니다.

투입계수
위의 2019년 투입산출표(생산자가격 기준)에서는 총 1,819조 8천억 원의 공산품을 생산하는 데 농림수산품 39조 원, 광산품 110조 8천억 원, 공산품(자기 부문) 859조 1천억 원 그리고 서비스 236조 5천억 원이 중간 재로 투입되었음을 보여주고 있습니다. 따라서 공산품의 중간투입계수는 각각 0.02(39조 원÷ 1,819.8조 원), 0.06(110.8조 원÷1,819.8조 원), 0.47(859.1조 원÷1,819.8조 원), 0.13(236.5조 원÷1,819.8조 원)입니다.
이는 공산품 1단위를 생산하는데 농림수산품 0.02 단위, 광산품 0.06단위, 공산품 0.47단위, 서비스 0.13단위 등이 중간재로 투입되었음을 나타내는 것입니다. 여기에 순생산물세, 잔폐물 등 기타사항들을 합친 것이 총 중간투입계수로 0.71입니다. 부가가치는 생산에 투입된 생산요소의 가치를 의미합니다. 공산품 1단위 생산으로 임금 0.11단위(196.6조 원÷1,819.8조 원)와 영업잉여 0.18단위(336.2조 원÷1,819.8 조 원)의 총 0.29단위의 부가가치가 발생되었음을 의미합니다. 공산품의 중간투입계수 0.71과 부가가치계수 0.29를 더하면 1이 되는데 이처럼 한 부문의 투입계수는 세로 방향으로 합하면 언제나 1이 됩니다. 아래 표는 2019년 투입산출표(생산자가격 기준)로 작성한 투입계수표입니다.

생산유발계수
한 나라에서 각 산업이 생산활동을 하는 궁극적인 목적은 소비, 투자, 수출 등과 같은 최종 수요를 충족시키는 데 있습니다. 따라서 소비, 투자, 수출 등 최종수요가 생산에 미치는 영향, 즉 최종수요의 생산유발효과를 파악하는 것은 중요한 분석 대상입니다. 생산유발효과는 투입계수를 기초로 산출되는 생산유발계수에 의해 측정될 수 있습니다.
예시로 수출을 위한 자동차 1대의 생산유발효과를 아래 그림을 참고하여 살펴보겠습니다. 자동차 1대가 생산되기 위해서는 그림에서 보는 것처럼 엔진, 타이어 등 수많은 중간재가 생산되어야 합니다. 그리고 그 중간재들을 생산하는데 철강제품, 고무, 타이어코드 등 또 다른 원재료의 생산이 필요합니다. 이와 같이 자동차의 생산은 아무 관련이 없는 것처럼 보이는 많은 산업의 생산활동에도 영향을 미치는데 그러한 생산유발효과는 산업 간 수급이 균형을 이룰 때까지 계속해서 나타납니다.

이와 같은 생산의 파급과정을 투입계수표의 수치를 이용하여 설명해보겠습니다.

공산품 1단위를 수출하기 위해서는 공산품 1단위가 생산되어야 합니다. 이때 각종 원재료 등 중간재가 투입되어야 하는데 이를 위하여 어떤 상품이 얼마만큼 생산되어야 하는가를 보겠습니다. 표에서 공산품의 세로 방향은 공산품 1단위의 생산을 위해서 중간투입물로 농림수산품 0.02단위, 광 산품 0.06단위, 공산품 0.47단위, 서비스 0.13단위 등이 생산되어야 함을 나타내고 있습니다. 따라서 공산품 1단위의 생산을 위하여 1차적으로 투입이 필요한 산출물은 모두 0.71단위가 되는데 이것이 바로 공산품에 대한 수출수요 1단위의 증가가 모든 산업에 미치는 1차 생산파급 효과입니다.
이와 같은 1차 생산파급효과로 나타난 농림수산품 0.02단위, 광산품 0.06단위, 공산품 0.47단위, 서비스 0.13단위 등을 생산하기 위해서 다시 총 0.446단위의 생산물이 투입되어야 합니다. 0.446단위의 2차 생산파급효과는 다음과 같이 계산된 것입니다.
- 농림수산품 0.02 단위 생산을 위해 투입되는 생산물 0.010단위(0.02×0.07 + 0.02×0.00 + 0.02×0.28 + ...... + 0.02××0.01), 광산품 0.06단위 생산을 위해 투입되는 생산물 0.032단위(0.06× 0.00 + 0.06×0.00 + 0.06×0.15 + ...... + 0.06×0.00),
- 공산품 0.47단위 생산을 위해 투입되는 생산물 0.334단위(0.47×0.02 + 0.47×0.06 + 0.47×0.47 + ...... + 0.47× 0.00),
- (중간생략),
- 서비스 0.13단위 생산을 위해 투입되는 생산물 0.057단위(0.13×0.01 + 0.13× 0.00 + 0.13×0.13 + ...... + 0.13×0.00)
- 등을 모두 합한 것입니다.
이와 같은 생산의 파급과정은 3차, 4차, ... 등 최종 파급효과가 영이 될 때까지 무한히 계속됩니다. 이들 생산파급효과를 모두 합하면 처음 발생한 공산품에 대한 수출수요 1단위의 생산유발효과, 즉 수출수요와 관련해서 유발된 총 산출액이 되는 것입니다. 이처럼 어떤 상품에 대한 최종수요는 해당 상품의 생산뿐만 아니라 그 상품과 관련되는 모든 상품의 생산에까지 영향을 미치게 되는데 그 과정이 아래의 그림에 설명되어 있습니다.

이상에서 살펴본 생산파급효과는 생산유발계수로 측정됩니다. 즉, 생산유발계수는 한 제품에 대한 최종수요가 한 단위 증가하였을 때 이를 충족시키기 위하여 해당 제품을 만드는 부문을 포함한 모든 부문에서 직·간접으로 유발되는 산출액입니다. 생산유발계수는 역행렬이라는 수학적인 방법을 통하여 도출되며 그 때문에 레온티에프 역행렬계수(Leontief inverse) 라고도 합니다. 아래의 표는 위의 투입계수표를 이용하여 도출한 생산유발계수 및 영향력, 감응도 계수표입니다.

이 표에서 공산품의 세로 방향은 공산품에 대한 최종수요가 1단위 발생하였을 때 이를 충족하기 위해 직·간접적으로 유발되는 각 상품별 생산과 우리 경제 전체의 생산을 나타내고 있습니다. 즉, 공산품에 대한 최종수요 1단위가 발생하면 농림수산품 0.05단위, 광산품 0.15단 위, 공산품 2.10단위, 서비스 0.47단위 등이 생산되어야 하므로 경제 전체로는 2.84단위의 생산이 필요하다는 것을 의미합니다. 공산품의 가로 방향은 농림수산품, 광산품, 공산품 그리고 서비스 등 모든 상품에 대한 최종수요가 각각 1단위씩 증가하는 경우 공산품이 0.70단위, 0.48단위, 2.10단위, 0.51단위 등 모두 5.74단위만큼 생산되어야 함을 의미하고 있습니다. 생산유발계수 이외에 수입유발계수와 부가가치유발계수 및 고용유발계수 등도 여러 가지 산업효과분석에 활용되고 있습니다.
생산유발계수의 도출
생산유발계수를 역행렬이라는 수학적 방법을 이용하여 도출하는 과정을 살펴보겠습니다. 투입산출표에서 각 품목 부문 생산물의 수급관계를 보면 중간수요와 최종수요의 합계에서 수입과 잔폐물 발생액을 차감하면 총산출액과 일치하므로 다음과 같은 수급방정식을 만들 수 있습니다.

이 방정식을 행렬로 표시하면 아래와 같이됩니다.

그리고 이를 다음과 같이 나타낼 수 있습니다.

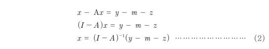
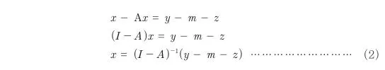
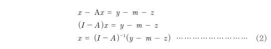
여기에서 A는 투입계수행렬, x는 총산출액 벡터(vector), y는 최종수요 벡터, m은 수입액 벡 터, z는 잔폐물 발생액 벡터를 나타낸다. 이 식을 전개하여 x에 대해 풀면 아래와 같습니다.

(1)의 식을 전개하여 x에 대해 풀면 되는데 여기서 (I - A)-1행렬을 생산유발계수라고 합니다. I는 주대각요소가 모두 1이고 그 밖의 요소는 모두 0인 단위행렬을 의미합니다. 이 생산유발계수를 미리 계산해두면 최종수요(y)와 수입(m) 및 잔폐물(z)의 변동에 따라 각 품목 부문에서 직·간접적으로 유발되는 총산출액(x)을 구할 수 있습니다. (2)식의 좌·우변을 보면 최종수요(y - m - z)와 국내 총산출(x)이 투입계수에서 도출되는 생산유발계수를 매개로 연결되는 것을 알 수 있습니다. 이는 특정 기간을 대상으로 작성된 투입산출표의 총산출액은 당해 기 간 동안의 해당 경제의 최종수요를 충족하기 위한 직·간접 생산액의 합계라는 것을 의미합니다, 즉 최종수요 (y - m - z)가 주어지면 생산시스템인 생산유발계수((I - A)-1)에 의해 국내 총산출(x)이 결정 되는 것입니다.
영향력계수 및 감응도계수
생산유발계수를 이용하여 각 산업의 전·후방연쇄효과를 파악할 수 있음을 알 수 있었습니다. 후방연쇄효과의 정도는 영향력계수에 의해, 전방연쇄효과의 정도는 감응도계수로 알 수 있습니다. 영향력계수와 감응도계수는 생산유발계수를 전산업 평균치에 대한 상대적 크기로 계산한 것입니다. 공산품 최종수요 1단위의 생산유발효과 표에서 공산품의 영향력계수는 공산품 생산유발계수의 열합계 2.84를 7개 전산업 평균 생산유발계수 2.50(17.49÷7)로 나눈 값인 1.14 입니다. 공산품의 감응도계수는 공산품 생산유발계수의 행합계 5.74를 7개 전산업 평균 생산유발계수 2.50로 나눈 값인 2.30 입니다.
대체로 어느 산업의 생산에 다른 산업의 생산물이 중간재로 많이 사용되어 중간투입률이 높은 경우에는 영향력계수가 높아지므로 후방연쇄효과가 커지게 됩니다. 한편 어떤 산업의 생산물이 다른 산업의 생산에 중간재로 많이 사용되어 중간수요율이 높은 경우에는 감응도계수가 높아져 전방연쇄효과가 커지게 됩니다. 따라서 중간투입률과 중간수요율이 높을수록 경제 내의 수요 변화에 반응하는 생산활동의 수준이 높아진다고 볼 수 있습니다. 따라서, 영향력계수와 감응도계수는 한정된 자원을 어떤 산업에 투자하는 것이 효율적인가를 알아 내는 데 유용한 지표입니다.
관련포스팅
'경제, 금융 > 경제' 카테고리의 다른 글
| 국민대차대조표의 작성방법 (0) | 2024.04.02 |
|---|---|
| 국민대차대조표의 이해 (0) | 2024.04.02 |
| 산업연관표의 이해_투입산출모형의 활용 (0) | 2024.04.01 |
| 산업연관표의 이해_투입산출표의 응용 (0) | 2024.03.25 |
| 산업연관표의 이해_공급사용표 (0) | 2024.03.22 |
| 산업연관표의 이해_산업연관표란? (0) | 2024.03.21 |
| 국민소득통계의 다양한 경제분석지표 (0) | 2024.03.21 |
| 국민소득통계 국민소득 주요지표(GNI, NNI, NI, NDI, GNDI, PPI, PDI, PADI) (0) | 2024.03.19 |
댓글